Iedere cursus bestaat uit inhoud, vorm en structuur. Onderwijsvernieuwingen bemoeien zich afwisselend met één of meer van deze aspecten.
Inhouden verschuiven naar gelang de maatschappelijke relevantie van de inhoud. Dat is een normaal en natuurlijk proces. De inhoud is datgene wat overgebracht dient te worden, het is datgene wat de cursist aan het begin van de cursus nog niet kan en/of weet en (als het goed is) aan het einde van de cursus wel kan en/of weet.
De vorm is datgene wat aan een cursus het eerst opvalt en het is ook het aspect waar onderwijsvernieuwers zich steeds weer met graagte op storten. Hier volgt een rijtje onderwijsvormen:
Allemaal prachtig, maar laten we één ding niet vergeten, het zijn allemaal vormen die ontwikkeld werden om inhouden over te brengen. De vormen zijn geen doel op zich, de vormen staan in dienst van leerdoelen. De vormen voldoen als daarmee de leerdoelen effectief overgebracht kunnen worden en ze voldoen niet als dat niet zo is. Al deze vormen kunnen nuttig zijn in bepaalde situaties en bij aanwezigheid van voldoende structuur. Al deze vormen zijn waardeloos bij gebrek aan voldoende structuur. Geen enkele van deze vormen op zich is alleenzaligmakend.
Op dit moment loopt de onderwijswereld in Nederland op breed front in deze val: nieuwe onderwijsvormen worden met enthousiasme ingevoerd, maar er wordt dikwijls nagelaten om deze met voldoende structuur te onderbouwen. Mislukkingen zijn op deze manier voorgeprogrammeerd. Privé-scholen en bijles instituten beleven gouden tijden. Er gaat bijkans geen week voorbij, of je kunt schrijnende gevallen van onderwijsmislukking in de media tegenkomen. Een paar recente voorbeelden:
Dat kan toch niet de bedoeling zijn! Wat denkt u hoe het een leerling te moede is die in zo'n toestand verkeert? Wat denkt u hoe hij/zij denkt over school, de maatschappij en zichzelf? Denkt u dat hij/zij bezig is zich te ontwikkelen tot een volwaardig lid van onze .... maatschappij (kernleerdoel x.x.x van de leerdoelen van de basisvorming)? Zo kan het niet, zo mag het niet en zo hoeft het niet. Zonder enige meerkosten kan het anders, sterker nog, het kan beter en tegelijk goedkoper. Hier komt de structuur om de hoek kijken.
Wat bedoel ik met structuur? Structuur kun je vergelijken met een plattegrond. Een goede plattegrond geeft aan, waar het beginpunt is van de tocht (het leertraject), welke hindernissen te overwinnen zijn en waar het eindpunt is. Als een leerling niet weet waar hij/zij staat en niet weet waar hij/zij heen gaat, dan wordt leren een verwarrende en schijnbaar zinloze boel. Het volgende kan dit verder verduidelijken.
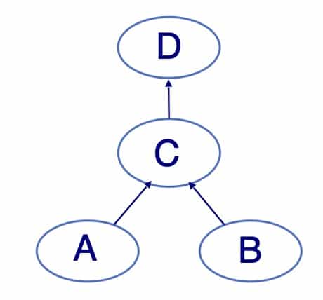
Een goede structuur kan verkregen worden door de leerdoelen te rangschikken in de vorm van een cursusplattegrond, zoals in de figuur aangegeven. Ieder rondje stelt een leerdoel voor. De plattegrond wordt van onderen naar boven gelezen en doorlopen. De leerdoelen die je het eerst doet staan onderaan, die je het laatst doet bovenaan. De pijlen betekenen dat je pas met een bepaald leerdoel kunt beginnen als je de voorgaande leerdoelen gehaald hebt.
Het ontwerpen van een plattegrond is een nauwkeurige aangelegenheid, waarbij er goed op gelet moet worden dat alle voorkennis die werkelijk nodig is ook ergens aan de orde is gekomen. Aan de andere kant moet er ook voor gewaakt worden dat geen onnodige eisen worden gesteld. De weg moet zo snel mogelijk naar het einddoel leiden.
Zo’n opzet heeft een aantal duidelijke voordelen:
Deze manier van werken houdt in principe in dat er individueel gestudeerd wordt, ieder is in zijn eigen tempo met zijn eigen onderwerp bezig. Dat is geen probleem als de modulen goed opgezet zijn, duidelijke aanwijzingen bevatten en voldoende oefening bieden. Met ook nog eens goede begeleiding in de buurt kan de leerling zich voor het grootste deel van de tijd alleen redden.
Het mag nu duidelijk zijn waar bij Betasteps de aandacht op is geconcentreerd: op stap 3 “beheersen”; dus dat wil zeggen op oefenen, oefenen en nog eens oefenen. Nu is veel en goed oefenen niet hetzelfde als blindelings oefenen. Oefenen van een onderwerp op een bepaald niveau heeft alleen zin en levert vrijwel altijd resultaat op als de leerling zich ook werkelijk op dat niveau bevindt.
Als dat niet zo is, zijn er twee mogelijkheden:
Oefenen van de leerstof in module D werkt goed als module C werkelijk met goed gevolg is afgesloten. Als dat niet het geval is en er nog lacunes zijn in C of in daaraan voorafgaande modules, zul je daar in module D regelmatig tegenaan lopen.
Als iemand maar niet door de stof van D heen kan komen en de oefeningen maar steeds niet lukken, bevindt hij/zij zich waarschijnlijk niet echt op dat niveau. In werkelijkheid is deze leerling steeds bezig voorgaande leerstof te oefenen, die verpakt is in een te moeilijke verpakking. Hij/zij moet terug en eerst één of meerdere vorige modules aanpakken en die echt goed afsluiten.
Hier zien we nog eens de reden dat er altijd een hoge score geëist wordt op de eindtoetsen van iedere module. Als iemand geen kans ziet om 80% of meer te behalen, is er simpelweg nog iets niet in orde. Dat probleem moet eerst gevonden en opgelost worden, voordat diegene verder kan gaan.
Het onderwijssysteem dat dit wel toelaat en de leerkracht die daar laks in is, stuurt de betreffende leerlingen vroeg of laat de frustratie in.

Als iemand gedwongen wordt zich bezig te houden met leerstof die hij al beheerst, levert dat evengoed frustratie op. Dit is het probleem waar hoogbegaafde kinderen voortdurend tegenaan lopen. Maar het overkomt ook de meer gemiddelde leerlingen. Het onderwerp ligt je gewoon, je hebt het op een andere school al gehad, je hebt het thuis opgepikt of hoe dan ook. In zo’n geval moet je iemand niet tegenhouden, maar verder laten gaan. Een mens verdient het dat de kennis die hij heeft en de vaardigheden die hij beheerst gezien en erkend worden. Dat motiveert om verder te gaan.